HM-201 resin exhibits excellent processing characteristics. It disperses easily and is easy to handle under normal processing temperatures with simple formulations. Vulcanizates produced have excellent aging resistance and resistance to media.
Product description
HM-201 resin exhibits excellent processing characteristics. It disperses easily and is easy to handle under normal processing temperatures with simple formulations. Vulcanizates produced have excellent aging resistance and resistance to media.
The heat aging resistance and ozone resistance of butyl rubber vulcanized with HM-201 resin are superior to those obtained with other resins. General physical and mechanical properties (such as strength, elongation, and permanent set) are also better than those achieved with other resins.
No activators are required when using this vulcanizing agent. The recommended dosage is: 12-15% in butyl polymers; 5% in chlorobutyl applications; and 5-15% in other elastomer applications, depending on the specific elastomer and application.
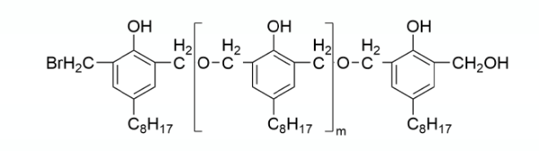
Chemical Name: Bromo-p-octyl-phenolic curing resin 201
Structural Formula:

Product Specifications:
Storage Conditions:Store in a cool, dry place, avoiding high temperatures and humidity.
Packaging:25 kg composite bag.